Note:
This functionality is currently only supported in Map Viewer Classic (formerly known as Map Viewer).
The Summarize Attributes tool summarizes like field values to generate a summary table. The resulting layer displays the count of features that have been summarized, as well as any additional statistics that have been specified.
Workflow diagram

Analysis using GeoAnalytics Tools
Analysis using GeoAnalytics Tools is run using distributed processing across multiple ArcGIS GeoAnalytics Server machines and cores. GeoAnalytics Tools and standard feature analysis tools in ArcGIS Enterprise have different parameters and capabilities. To learn more about these differences, see Feature analysis tool differences.
Example
Tornadoes and hurricanes are some of the most violent types of storms that occur in the United States. You want to know the property damage and financial loss from tornadoes and hurricanes to compare how their impact differs. You have access to tornado and hurricane data across the United States in a single dataset, and you want to summarize all the information to see a summary of values for all hurricanes and a summary of values for all tornadoes. You can summarize your data by storm type to determine the statistics for each.
Usage notes
Summarize Attributes is a tabular analysis tool, not a spatial tool.
The most basic aggregations will calculate a count of features that have been summarized. The count, sum, minimum, maximum, range, mean, standard deviation, and variance statistics can also be calculated on numerical fields, and the count and any statistics can be calculated on string fields. The statistics will be calculated on each group separately.
You can specify one or more fields to summarize by or summarize all features. When you summarize by fields, statistics are calculated for each unique combination of attribute values.
Summarize Attributes also allows you to analyze using time steps. Each time step is analyzed independently of features outside of the time step. To use time stepping, your input data must be time enabled and represent an instant in time. When time stepping is applied, output features will be time intervals represented by theSTART_DATETIME and END_DATETIME fields .
Learn more about time stepping
The processing spatial reference and spatial reference of your input data will not affect your results.
If Use current map extent is checked, only the features that are visible within the current map extent will be analyzed. If it's not checked, all input features in the input layer will be analyzed, even if they are outside the current map extent.
Limitations
Inputs can be a tabular layer or a layer with geometry (points, lines, or areas).
You can apply this tool to spatial data, and you will get a tabular result. You can join your results to spatial data using Join Features.
How Summarize Attributes works
The following describes how the tool works:
Equations
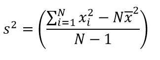
Variance is calculated using the following equation:
Standard deviation is calculated as the square root of the variance.
Calculations
Input layers are summarized into groups with matching field values. The results are tabular, so they cannot be visualized on your map.
The tables below illustrate the statistical calculations of a layer that is summarized using like field values. The VO2 field was used to calculate the numeric statistics (Count,Sum, Minimum, Maximum, Range, Mean, Standard Deviation, and Variance) for the layer. The Rating field was used to calculate the string statistics (Count and Any) for the layer.

The table above was summarized on the Designation field, and the VO2 field was used to calculate the numeric statistics (Count,Sum, Minimum, Maximum, Range, Mean, Standard Deviation, and Variance) for the layer. The Rating field was used to calculate the string statistics (Count and Any) for the layer. This result is a table with two features, representing the distinct values of Designation.

The following table represents how the first few fields appear when the layer is summarized using the Designation and Age Group fields. Statistics are calculated using the same methods as the previous example.

The count statistic (for strings and numeric fields) counts the number of nonnull values. The count of the following values equals 5: [0, 1, 10, 5, null, 6] = 5. The count of this set of values equals 3: [Primary, Primary, Secondary, null] = 3.
ArcGIS API for Python example
The Summarize Attributes tool is available through ArcGIS API for Python.
This example summarizes similar types of storms to find the amount of property damage.
# Import the required ArcGIS API for Python modules
import arcgis
from arcgis.gis import GIS
from arcgis.geoanalytics import summarize_data
# Connect to your ArcGIS Enterprise portal and confirm that GeoAnalytics is supported
portal = GIS("https://myportal.domain.com/portal", "gis_publisher", "my_password")
if not portal.geoanalytics.is_supported():
print("Quitting, GeoAnalytics is not supported")
exit(1)
# Find the big data file share dataset you'll use for analysis
search_result = portal.content.search("", "Big Data File Share")
# Look through the search results for a big data file share with the matching name
bdfs_search = next(x for x in search_result if x.title == "bigDataFileShares_NaturalDisaters")
# Look through the big data file share for Storms
storms = next(x for x in bdfs_search.layers if x.properties.name == "StormData")
# Set the tool environments
arcgis.env.verbose = True
arcgis.env.defaultAggregations = True
summaryStatistics = [{"statisticType" : "Sum", "onStatisticField" : "PropertyDamage"}]
summarized_result = summarize_data.summarize_attributes(input_layer = storms,
fields = "Storm_type",
summary_fields = summaryStatistics,
output_name = "summarized_storms")
# Visualize the tool results if you are running Python in a Jupyter Notebook
processed_map = portal.map('USA')
processed_map.add_layer(summarized_result)
processed_map
Similar tools
Use Summarize Attributes to summarize features with like values. Other tools may be useful in solving similar but slightly different problems.
Map Viewer Classic analysis tools
If you are summarizing points, lines, or areas using different spatial relationships, use the Join Features tool.
ArcGIS Pro analysis tools
The Summarize Attributes tool is available in ArcGIS Pro.
Summarize Attributes performs the functions of the Summary Statistics tool.